EXPORTATION TOTAL Commerce General ZCHAPITRE
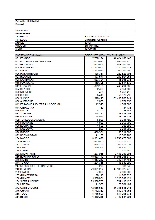
Extraction:Untitled1-1
Dataset:
Dimensions
==========
TYPEFLUX
EXPORTATION TOTAL:
TYPECOM
Commerce General:
ANNEE
2009:
PRODUIT
ZCHAPITRE:
MOIS
00:Annual
==========
PARTENAIRE \\\\ Indicators
POIDS NET: (KG) VALEUR: (CFA)
001:FRANCE
7 770 174

40 424 108 143

002:BELGIQUE-LUXEMBOURG
653 920

1 696 163 775

003:PAYS-BAS
1 405 982

829 085 108

004:ALLEMAGNE
12 163 988

3 225 687 879

005:ITALIE
1 235 078

2 303 566 606

006:ROYAUME-UNI
128 331

222 522 795

007:IRLANDE
197 671

289 607 266

008:DANEMARK
923 724

155 365 938

010:PORTUGAL
160 305

120 817 539

011:ESPAGNE
1 309 158

449 491 885

024:ISLANDE
2 300

2 561 500

028:NORVEGE
485

1 252 418

030:SUEDE
5 415

58 879 798

036:SUISSE
1 220 495

62 460 705 741

038:AUTRICHE
2 600

1 674 658

042:ESPAGNE AJOUTEZ AU CODE 011
12 393

4 582 380

044:GIBRALTAR
50

87 136

046:MALTE
4 100

2 288 381

052:TURQUIE
124 112

86 316 908

060:POLOGNE
24 941

48 285 725

062:TCHECOSLOVAQUIE
5 028

2 331 426

066:ROUMANIE
1 830

9 969 795

068:BULGARIE
1 500

300 000

074:MOLDOVA
200

8 081 700

075:RUSSIE
478 981

159 311 586

079:KAZAKHSTAN
41 100

19 983 268

204:MAROC
3 921 476

2 743 477 962

208:ALGERIE
1 475 053

1 215 673 110

212:TUNISIE
434 736

348 277 537

216:LIBYE
230 332

157 716 516

220:EGYPTE
58

176 148

228:MAURITANIE
1 297 985

2 453 259 996

236:BURKINA FASO
40 623 140

14 996 055 319

240:NIGER
5 553 212

1 339 147 486

244:TCHAD
204 335

33 380 000

247:REPUBLIQUE DU CAP VERT
276

983 935

248:SENEGAL
79 091 282

47 988 626 275

252:GAMBIE
7 000

2 500 000

257:GUINEE BISSAU
30 115

14 660 625

260:GUINEE
5 300 951

3 223 847 124

264:SIERRA LEONE
25 209 700

749 416 125

268:LIBERIA
91 368

78 804 492

272:COTE D'IVOIRE
42 985 567

16 346 846 948

276:GHANA
6 742 380

842 773 768

280:TOGO
5 715 507

811 298 773

284:BENIN
6 310 218

3 167 587 703


PARTENAIRE \\\\ Indicators
POIDS NET: (KG) VALEUR: (CFA)
288:NIGERIA
1 425 829

759 588 486

302:CAMEROUN
712 623

25 857 312

310:GUINEE EQUATORIALE
9 243

8 400 000

314:GABON
137 298

380 610 870

318:CONGO
5 897

15 551 640

322:ZAIRE
34 674

78 599 059

328:BURUNDI
302

285 000

330:ANGOLA
67 403

36 148 690

350:OUGANDA
2 646

3 866 400

352:TANZANIE
5 020

58 674 744

373:MAURICE
980 901

794 531 673

390:REP. AFRIQUE DU SUD ET NAMIBIE
688 704

573 085 219 834

393:SWATZILAND
190 000

38 000 000

400:ETATS UNIS D'AMERIQUE
764 753

1 740 622 734

404:CANADA
252 538

762 419 064

412:MEXIQUE
83 480

16 696 000

448:CUBA
50 000

95 153 100

492:SURINAM
10 000

6 264 039

508:BRESIL
13 911

22 232 888

528:ARGENTINE
6 320

7 530 336

604:LIBAN
493

5 268 230

608:SYRIE
440 445

223 881 302

624:ISRAEL
84

66 480

632:ARABIE SEOUDITE
37 532

35 690 899

636:KOWEIT
22 387

9 144 460

644:QATAR
2 223

2 016 475

645:DOUBAI
577 862

623 990 437

662:PAKISTAN
1 796 666

1 458 272 048

664:INDE
4 385 409

1 571 804 525

666:BANGLADESH
617 461

513 146 846

680:THAILANDE
10 101 782

6 328 306 429

690:VIETNAM
9 019 236

7 937 996 987

700:INDONESIE
8 106 941

5 976 346 830

701:MALAYSIA
17 184 309

12 177 092 941

703:BRUNEI
4 174

5 773 668

720:CHINE
19 937 330

14 987 186 048

726:COREE DU SUD
60 069

40 677 230

732:JAPON
409 567

433 793 285

736:TAIWAN
602 118

465 809 934

740:HONG-KONG
155 404

41 947 770

800:AUSTRALIE
73 827

1 373 851 084

804:NOUVELLE-ZELANDE
17 970

62 124 582

TOTAL:
332 093 383

841 307 979 555