BIENVENUE A LA BIBLIOTHEQUE NUMERIQUE DE L'INSTITUT NATIONAL DE LA STAISTIQUE (INSTAT)
»
Statistiques
»
Document
Preferences
Help
Login
text
dc.Title,Title
Text Search
Fielded Search
Advanced Search
Titres Des Publications de A-Z
Sous Domaines
Thème
Comment Faire
Source/Auteur
Année
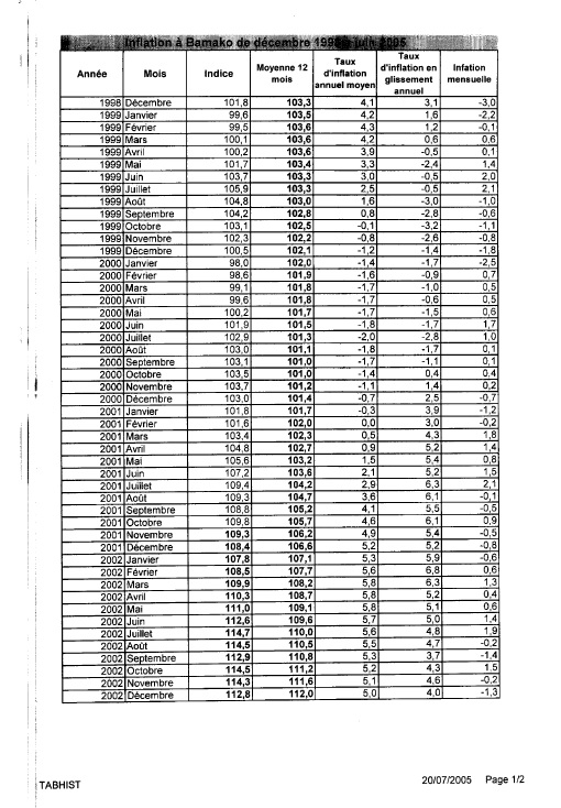
Inflation à Bamako de 1998 à 2005