
MINISTERE DE LA PLANIFICATION DE L'AMENAGEMENT
REPUBLIQUE DU MALI
DU TERRITOIRE ET DE LA POPULATION
Un Peuple - Un But - Une Foi
INSTITUT NATIONAL DE LA STATISTIQUE
PRIX MOYENS DE VENTE ET INDICE DES MATERIAUX
ET PRODUITS DE CONSTRUCTION A BAMAKO
(BATIMENT AVEC COUVERTURE EN DALLE BA)
Mois de Mars 2016
BASE 100 en 2000
N°
PRIX
INDICE
Variation en %
DESIGNATIONS
UNITE
mars16/mars1
mars-16
mars-15 févr-16
mars-16 mars16 fév16
5
1
LIANTS HYDRAULIQUES
102,2
101,1
101,1
0,0
-1,1
1.2 Ciment CPJ45
T
90000
102,2
101,1
101,1
0,0
-1,1
3
AGREGATS
186,8
193,1
193,4
0,2
3,5
3.1 Sable du fleuve
m3
12643
215,3
230,9
229,6
-0,6
6,6
3.2 Gravier du fleuve
m3
17143
155,6
155,6
155,6
0,0
0,0
3.5 Moellon
m3
3200
154,4
142,1
148,3
4,3
-4,0
4
BOIS
129,1
132,6
135,1
1,9
4,6
4.1 Bois Samba 40 mm
m3
177000
132,2
138,8
137,6
-0,8
4,1
4.3 Bois du Pays (Chevrons)
U
1400
120,8
120,8
169,1
40,0
40,0
4.4 Etai ( Tronc d'arbre)
U
1180
170,9
177,7
161,3
-9,2
-5,6
4.5 Contre plaque 5mm ( petite feuille)U
3220
114,6
107,4
105,4
-1,8
-8,0
4.6 Contre plaque15mm ( petite feuille)U
8400
98,3
100,0
94,9
-5,1
-3,4
5
FER A BETON
114,0
117,7
118,4
0,6
3,8
5.1 Rond lisse N° 6 ( barre de 12m)
U
960
111,0
111,0
113,3
2,1
2,1
5.2 Rond Tor N°8 ( barre de 12m)
U
1530
94,8
93,4
102,9
10,1
8,5
5.3 Rond Tor N° 10( barre de 12m)
U
2390
100,9
102,7
107,1
4,4
6,2
5.4 Rond Tor N° 12( barre de 12m)
U
3290
111,7
127,7
109,7
-14,1
-1,8
5.5 Rond Tor N° 14( barre de 12m)
U
7300
113,8
115,3
115,3
0,0
1,4
5.6 Rond Tor N° 16( barre de 12m)
U
11900
137,0
145,8
149,6
2,6
9,2
5.7 Rond Tor N° 20( barre de 12m)
U
21400
157,8
160,8
160,1
-0,5
1,4
5.8 Rond Tor N° 25 ( barre de 12m) U
29500
132,8
143,6
144,0
0,3
8,5
5.9 Pointe N°8
kg
860
117,8
120,5
115,1
-4,4
-2,3
5.10 Fil d'attache rouleau de 5 kgs
U
2300
93,6
78,3
78,3
0,0
-16,4
8
REVETEMENT
94,6
94,3
95,7
1,5
1,2
8.2 Granito du pays 20/20
m2
6000
90,3
87,1
95,1
9,1
5,3
8.3 Carreau de ciment 30/30
m2
4300
70,9
70,9
64,2
-9,5
-9,5
8.4 Carreau gré de cérame importé 2/2m2
8100
124,0
124,8
127,1
1,9
2,5
8.5 Carreau de faïence 15/15
m2
3300
66,4
71,5
66,4
-7,0
0,0
9
PLOMBERIE ET SANITAIRE
83,0
79,4
81,9
3,2
-1,2
9.1 Tuyaux PVC 50 ( barre de 6 m )
U
3100
109,4
104,1
109,4
5,1
0,0
9.2 Tuyaux PVC 110
U
7300
113,5
114,3
121,8
6,6
7,4
9.3 Tuyaux galvanisé 15/21 ( barre de 6 m
U )
5900
125,5
108,1
113,9
5,4
-9,2
9.4 Tuyaux galvanisé 20/27 ( barre de 6 m
U )
8250
118,1
118,8
116,0
-2,4
-1,8
9.5 Tuyaux galvanisé 40/49 ( barre de 6 m
U )
16500
89,8
88,2
87,2
-1,2
-2,9
9.6 Coude en PVC 50
U
370
50,8
52,4
58,7
12,1
15,6
9.7 Coude en PVC 110
U
1100
72,7
64,7
72,7
12,2
0,0
9.8 Coude en Tuyaux galvanisé 15/21 U
210
92,3
106,9
102,0
-4,5
10,5
1
N°
PRIX
INDICE
Variation en %
DESIGNATIONS
UNITE
mars16/mars1
mars-16
mars-15 févr-16
mars-16 mars16 fév16
5
9.9 Coude en Tuyaux galvanisé 20/27 U
290
129,2
110,7
107,1
-3,3
-17,1
9.10 Coude en Tuyaux galvanisé 40/49 U
800
57,1
57,8
57,1
-1,2
0,0
10.1 Lavabo complète
U
27800
58,6
54,1
59,5
9,9
1,6
10.2 Chaise anglaise
U
34000
74,0
68,8
73,1
6,3
-1,2
10.3 Chaise turc nue
U
11500
51,9
38,7
41,2
6,5
-20,7
10.4 Chasse haute
U
8100
23,0
21,5
19,6
-9,0
-14,7
10.5 Chasse basse
U
44000
56,0
62,1
69,2
11,4
23,6
10.6 Robinet de lavabo simple
U
3000
126,0
98,8
102,2
3,4
-18,9
10.7 Robinet de lavabo double
U
6200
58,5
62,2
56,7
-8,8
-3,1
10.9 Receveur de douche
U
24000
66,0
66,0
75,4
14,3
14,3
10.10 Colonne de douche
U
4400
66,9
60,9
66,9
10,0
0,0
10.18 Glace biseauté
U
5200
83,0
92,0
93,8
2,0
13,0
10.19 Tablette en plastique
U
3000
68,8
68,8
68,8
0,0
0,0
10.20 Porte Savon
U
1100
44,4
44,0
44,4
0,9
0,0
10.21 Porte habit
U
2000
69,3
66,0
66,0
0,0
-4,8
10.23 Robinet de puisage 15mm
U
1900
94,4
89,7
89,7
0,0
-5,0
10.24 Robinet de puisage 20mm
U
2600
88,3
83,3
85,1
2,2
-3,7
10.25 Siphon de sol (grille 13x13)
U
2000
116,1
110,6
110,6
0,0
-4,8
10.26 Siphon de sol (grille 10x10)
U
1000
74,3
64,2
67,6
5,3
-9,1
11
PEINTURE
88,0
83,9
83,3
-0,7
-5,4
11.1 Chaux vive sac de 50 kgs
U
10900
119,0
108,1
108,1
0,0
-9,2
11.2 Fom à l'eau boîte de 30 kgs
U
10000
75,3
66,0
66,0
0,0
-12,3
11.3 Peinture à l'huile boîte de 3 kgs
U
4850
78,3
80,7
79,1
-2,0
1,0
11.4 Colorant boite 200 ml
U
920
60,7
59,4
60,7
2,2
0,0
13
MENUISERIE
135,9
133,6
127,9
-4,3
-5,9
13.1 Porte isoplane 70/220 sans main d'o
Ueuvre 40000
142,2
115,5
118,5
2,6
-16,7
13.2 Porte isoplane 80/220 -"-
U
45000
150,0
144,3
129,8
-10,0
-13,5
13.3 Porte isoplane 120/220 -"-
U
60200
182,2
142,6
129,1
-9,5
-29,2
13.4 Porte métallique persiennée 80/220U
47500
160,2
131,6
126,3
-4,0
-21,2
13.5 Porte métallique persiennée 120/220
U
76700
148,0
124,5
124,0
-0,4
-16,2
13.6 Fenêtre métallique persiennée 60x60
U
17900
104,9
124,9
99,8
-20,1
-4,8
13.7 Fenêtre métallique persiennée 60x80
U
30500
134,0
151,8
136,2
-10,3
1,7
13.8 Fe
Fénêtre métallique persiennée 1
20x1
U 20
54400
112,6
136,9
144,1
5,3
28,0
13.9 à la
Fé m
nê es
tre ori
m e
é n
tata
lli b
q le
u s
e 6
p 0
e x
rs6
i 0
ennée
U
21400
104,5
119,0
119,0
0,0
13,8
13.10 à lames orientable 60/80
U
32000
129,4
158,2
153,4
-3,0
18,5
14
ELECTRICITE
101,5
103,5
103,1
-0,3
1,7
14.1 Gaine ( rouleau de 100m ) N° 13 U
11500
81,1
78,2
82,5
5,5
1,8
14.2 Fil 16/10 TH (rouleau de 100m )
U
12900
176,4
183,4
182,0
-0,8
3,2
14.3 Interrupteur (simple allumage )
U
400
66,5
78,1
66,5
-14,9
0,0
14.4 Interrupteur (double allumage )
U
710
65,7
73,5
68,6
-6,6
4,4
14.5 Interrupteur ( va et vient )
U
630
61,4
62,4
62,4
0,0
1,6
14.6 Règlette 60
U
3000
90,6
90,6
87,7
-3,2
-3,2
14.7 Règlette120
U
4500
77,9
75,8
94,8
25,0
21,6
14.8 Plafonnier (TMT)
U
17200
106,8
101,2
95,2
-6,0
-10,9
14.9 Hublot étranche
U
4200
83,5
91,8
87,7
-4,5
5,0
14.10 Applique Sanitaire
U
6000
101,7
98,3
101,7
3,4
0,0
14.11 Prise de courant ordinaire
U
460
90,2
93,8
83,0
-11,5
-8,0
14.12 Prise de courant + terre
U
660
57,0
59,5
55,3
-7,0
-2,9
14.13 Prise de courant ondulé
U
620
25,5
30,9
28,2
-8,8
10,7
14.14 Prise de téléphone
U
1000
58,8
53,9
49,0
-9,1
-16,7
14.15 Prise de télévision
U
1000
59,0
53,6
53,6
0,0
-9,1
14.25 Ampoule 60 W
U
240
94,3
102,9
102,9
0,0
9,1
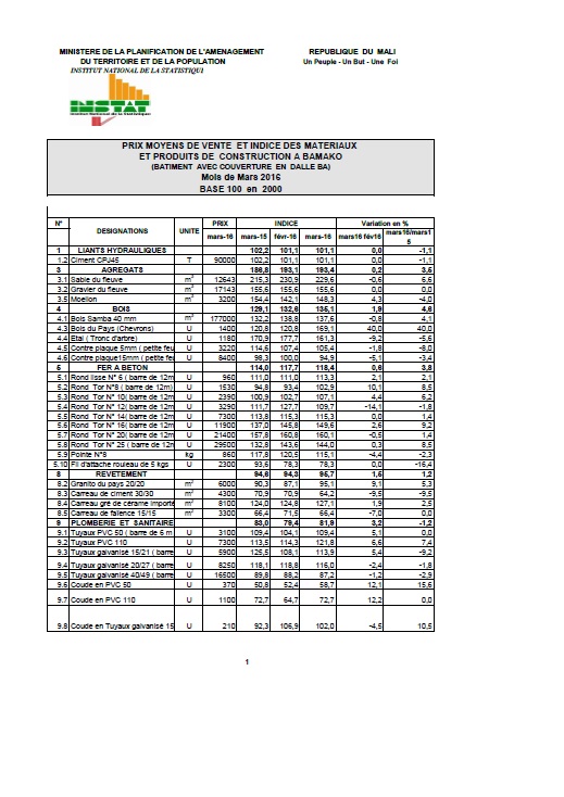
INDICE GLOBAL
119,0
119,7
119,8
0,1
0,7
2
COMMENTAIRE DE L' INDICE DES MATERIAUX ET PRODUITS DE CONSTRUCTION
Mois de mars 2016
Au mois de mars 2016 le niveau de l'indice des matériaux et produits de construction est de 119,8
En févrrier 2016 son niveau était de 119,7 soit une hausse de 0,1%. En un an ( mars 2016
par rapport à mars 2015 ) la hausse est de 0,7%.
La hausse mensuelle de l'indice est due essentiellement aux groupes suivants:
Bois (1,9%)
Plomberie et sanitaire (3,2%)
Revêtement (1,5%)
La variation moyenne annuelle (moyenne sur 12 mois) de l'indice des matériaux et produits de
construction est de 1,0%.
Variation en pourcentage de mars16/fév16
4,00
PLOMBERIE ET
SANITAIRE
BOIS
2,00
LIANTS
REVETEMENT
HYDRAULIQUES
FER A BETON
AGREGATS
INDICE GLOBAL
0,00
PEINTURE
ELECTRICITE
-2,00
-4,00
MENUISERIE
-6,00
3
