
MINISTERE DE LA PLANIFICATION DE L'AMENAGEMENT
REPUBLIQUE DU MALI
DU TERRITOIRE ET DE LA POPULATION
Un Peuple - Un But - Une Foi
INSTITUT NATIONAL DE LA STATISTIQUE
PRIX MOYENS DE VENTE ET INDICE DES MATERIAUX
ET PRODUITS DE CONSTRUCTION A BAMAKO
(BATIMENT AVEC COUVERTURE EN DALLE BA)
Mois d'Avril 2015
BASE 100 en 2000
N°
PRIX
INDICE
Variation en %
DESIGNATIONS
UNITE
avr-15
avr-14
mars-15
avr-15
Avril15/Mars15 Avril15/Avril14
1
LIANTS HYDRAULIQUES
103,9
102,5
104,5
1,9
0,5
1.2 Ciment CPJ45
T
93000
103,9
102,5
104,5
1,9
0,5
3
AGREGATS
192,6
188,4
193,2
2,5
0,3
3.1 Sable du fleuve
m3
12357
223,7
218,2
224,4
2,8
0,3
3.2 Gravier du fleuve
m3
17143
163,7
155,6
155,6
0,0
-5,0
3.5 Moellon
m3
3507
146,7
154,4
164,3
6,4
12,0
4
BOIS
117,4
132,5
130,1
-1,8
10,8
4.1 Bois Samba 40 mm
m3
181000
115,3
139,9
140,7
0,6
22,0
4.3 Bois du Pays (Chevrons)
U
980
138,9
113,2
118,4
4,5
-14,8
4.4 Etai ( Tronc d'arbre)
U
1200
136,7
179,4
164,1
-8,6
20,0
4.5 Contre plaque 5mm ( petite feuille) U
3125
104,3
110,5
102,3
-7,4
-2,0
4.6 Contre plaque15mm ( petite feuille)U
8250
97,9
96,7
93,2
-3,6
-4,8
5
FER A BETON
127,3
118,4
115,2
-2,6
-9,5
5.1 Rond lisse N° 6 ( barre de 12m)
U
960
134,3
116,6
113,3
-2,8
-15,6
5.2 Rond Tor N°8 ( barre de 12m)
U
1370
108,9
96,6
92,1
-4,7
-15,4
5.3 Rond Tor N° 10( barre de 12m)
U
2300
119,3
109,3
103,1
-5,6
-13,5
5.4 Rond Tor N° 12( barre de 12m)
U
3310
129,0
112,5
110,3
-1,9
-14,5
5.5 Rond Tor N° 14( barre de 12m)
U
7400
138,3
118,5
116,9
-1,3
-15,4
5.6 Rond Tor N° 16( barre de 12m)
U
11500
147,1
152,5
144,6
-5,2
-1,7
5.7 Rond Tor N° 20( barre de 12m)
U
21200
153,0
159,4
158,6
-0,5
3,7
5.8 Rond Tor N° 25 ( barre de 12m)
U
27400
138,2
132,5
133,8
1,0
-3,2
5.9 Pointe N°8
kg
960
111,6
127,2
128,5
1,1
15,2
5.10 Fil d'attache rouleau de 5 kgs
U
2400
83,0
80,8
81,7
1,1
-1,5
8
REVETEMENT
98,3
94,4
92,9
-1,6
-5,5
8.2 Granito du pays 20/20
m2
5400
99,0
88,1
85,6
-2,9
-13,6
8.3 Carreau de ciment 30/30
m2
4250
65,3
68,1
63,4
-6,8
-2,9
8.4 Carreau gré de cérame importé 2/2m2
8200
131,5
127,5
128,7
0,9
-2,1
8.5 Carreau de faïence 15/15
m2
3300
62,9
66,7
66,4
-0,4
5,6
9 PLOMBERIE ET SANITAIRE
75,9
79,7
79,2
-0,5
4,4
9.1 Tuyaux PVC 50 ( barre de 6 m )
U
3100
105,9
108,1
109,4
1,2
3,3
9.2 Tuyaux PVC 110
U
7000
114,7
114,7
116,8
1,8
1,8
9.3 Tuyaux galvanisé 15/21 ( barre de 6 m
U )
5700
106,2
113,4
110,1
-3,0
3,6
9.4 Tuyaux galvanisé 20/27 ( barre de 6 m
U )
7500
100,2
115,1
105,5
-8,4
5,3
9.5 Tuyaux galvanisé 40/49 ( barre de 6 m
U )
16300
91,1
89,8
86,1
-4,1
-5,5
9.6 Coude en PVC 50
U
340
51,6
49,6
53,9
8,8
4,6
9.7 Coude en PVC 110
U
1000
61,9
63,6
66,1
3,9
6,7
9.8 Coude en Tuyaux galvanisé 15/21 U
230
100,2
106,3
111,8
5,1
11,5
1
N°
PRIX
INDICE
Variation en %
DESIGNATIONS
UNITE
avr-15
avr-14
mars-15
avr-15
Avril15/Mars15 Avril15/Avril14
9.9 Coude en Tuyaux galvanisé 20/27 U
290
96,9
106,1
107,1
0,9
10,5
9.10 Coude en Tuyaux galvanisé 40/49 U
850
56,2
66,0
60,7
-8,1
7,9
10.1 Lavabo complète
U
25700
62,6
56,7
55,0
-3,0
-12,1
10.2 Chaise anglaise
U
30000
65,8
61,3
64,5
5,3
-2,0
10.3 Chaise turc nue
U
9300
40,6
35,8
33,3
-7,0
-17,9
10.4 Chasse haute
U
8700
19,3
23,6
21,0
-10,8
8,8
10.5 Chasse basse
U
38000
61,0
47,4
59,8
26,1
-1,9
10.6 Robinet de lavabo simple
U
3000
93,7
102,2
102,2
0,0
9,1
10.7 Robinet de lavabo double
U
6000
57,1
54,8
54,8
0,0
-4,0
10.9 Receveur de douche
U
20800
68,4
86,4
65,4
-24,4
-4,4
10.10 Colonne de douche
U
3500
51,3
57,0
53,2
-6,7
3,7
10.18 Glace biseauté
U
5800
83,4
94,7
104,6
10,5
25,4
10.19 Tablette en plastique
U
2900
51,6
68,8
66,5
-3,3
28,9
10.20 Porte Savon
U
1350
42,9
58,5
54,5
-6,9
27,1
10.21 Porte habit
U
2500
61,9
66,0
82,5
25,0
33,3
10.23 Robinet de puisage 15mm
U
2100
91,4
91,4
99,1
8,4
8,4
10.24 Robinet de puisage 20mm
U
2900
85,9
90,0
94,9
5,5
10,5
10.25 Siphon de sol (grille 13x13)
U
2000
69,1
114,1
110,6
-3,0
60,0
10.26 Siphon de sol (grille 10x10)
U
980
63,4
67,6
66,2
-2,0
4,5
11
PEINTURE
82,5
87,7
86,2
-1,7
4,5
11.1 Chaux vive sac de 50 kgs
U
10900
109,1
110,3
108,1
-2,0
-0,9
11.2 Fom à l'eau boîte de 30 kgs
U
11700
66,0
80,1
77,3
-3,5
17,0
11.3 Peinture à l'huile boîte de 3 kgs
U
4900
77,5
80,5
79,9
-0,8
3,2
11.4 Colorant boite 200 ml
U
960
56,1
62,7
63,3
1,1
12,9
13
MENUISERIE
126,1
112,5
108,5
-3,6
-13,9
13.1 Porte isoplane 70/220 sans main d'oe
U uvre 40000
114,8
118,5
118,5
0,0
3,2
13.2 Porte isoplane 80/220 -"-
U
45000
122,6
126,2
129,8
2,9
5,9
13.3 Porte isoplane 120/220 -"-
U
55200
117,0
124,4
118,4
-4,8
1,2
13.4 Porte métallique persiennée 80/220U
44000
140,2
120,0
117,0
-2,5
-16,6
13.5 Porte métallique persiennée 120/220
U
71000
161,7
125,1
114,8
-8,2
-29,0
13.6 Fenêtre métallique persiennée 60x60
U
13500
66,9
86,4
75,3
-12,9
12,5
13.7 Fenêtre métallique persiennée 60x80
U
21500
111,7
93,8
96,0
2,4
-14,0
13.8 Fe
Fénêtre métallique persiennée 1
20x1
U 20
34500
119,2
108,6
91,4
-15,9
-23,3
13.9 à la
Fé m
nê es
tre ori
m e
é n
tata
lli b
q le
u s
e 6
p 0
e x
rs6
i 0
ennée
U
16900
91,7
94,5
93,9
-0,6
2,4
13.10 à lames orientable 60/80
U
30000
143,8
128,8
143,8
11,6
0,0
14
ELECTRICITE
102,6
103,1
102,2
-0,8
-0,3
14.1 Gaine ( rouleau de 100m ) N° 13 U
11200
79,8
80,7
80,4
-0,4
0,7
14.2 Fil 16/10 TH (rouleau de 100m )
U
12500
179,9
179,9
176,4
-2,0
-2,0
14.3 Interrupteur (simple allumage )
U
400
64,4
64,4
66,5
3,2
3,2
14.4 Interrupteur (double allumage )
U
720
66,4
66,4
69,6
4,7
4,7
14.5 Interrupteur ( va et vient )
U
680
68,0
69,3
67,3
-2,9
-1,1
14.6 Règlette 60
U
3100
87,7
87,7
90,6
3,3
3,3
14.7 Règlette120
U
4450
89,5
90,8
93,7
3,2
4,7
14.8 Plafonnier (TMT)
U
17200
98,2
103,7
95,2
-8,3
-3,1
14.9 Hublot étranche
U
4600
114,8
96,5
96,0
-0,5
-16,4
14.10 Applique Sanitaire
U
6000
93,2
101,7
101,7
0,0
9,1
14.11 Prise de courant ordinaire
U
480
69,9
83,4
86,6
3,8
23,9
14.12 Prise de courant + terre
U
700
62,8
52,3
58,6
12,0
-6,7
14.13 Prise de courant ondulé
U
640
34,1
22,7
29,1
28,0
-14,7
14.14 Prise de téléphone
U
1000
49,0
55,1
49,0
-11,1
0,0
14.15 Prise de télévision
U
1000
53,6
60,3
53,6
-11,1
0,0
14.25 Ampoule 60 W
U
250
101,8
107,2
107,2
0,0
5,3
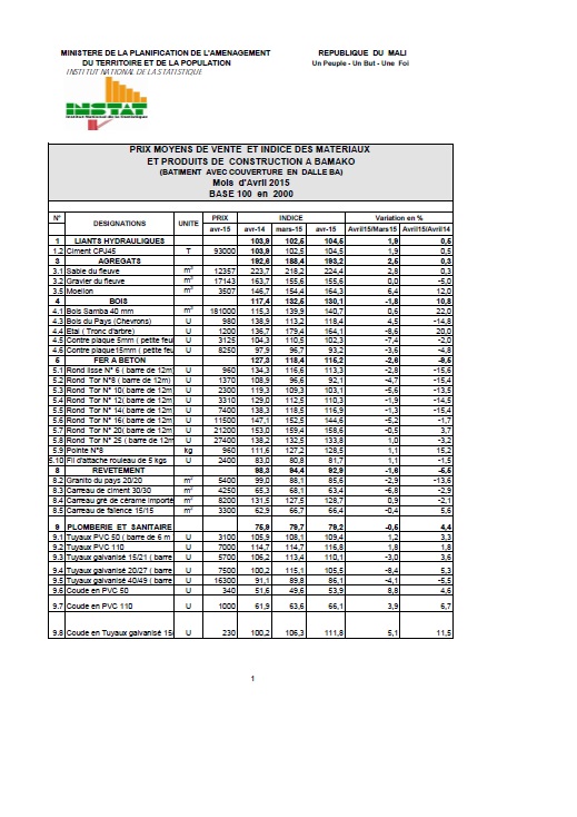
INDICE GLOBAL
120,5
118,3
118,8
0,5
-1,4
2
COMMENTAIRE DE L' INDICE DES MATERIAUX ET PRODUITS DE CONSTRUCTION
Mois d'Avril 2015
Au mois d'avril 2015 le niveau de l'indice des matériaux et produits de construction est de 118,8
En mars 2015 son niveau était de 118,3 soit une hausse de 0,5%. En un an ( avril 2015
par rapport à avril 2014 ) la baisse est de (1,4%)
La hausse mensuelle de l'indice est due essentiellement aux groupes suivants:
-Liants hydrauliques (1,9%)
-Agregats (2,5%)
La variation moyenne annuelle (moyenne sur 12 mois) de l'indice des matériaux et produits de
construction est de 1,4%.
Variation en pourcentage de avril15/lMars15
3,00
LIANTS
AGREGATS
HYDRAULIQUES
2,00
1,00
INDICE GLOBAL
0,00
PLOMBERIE ET
-1,00
SANITAIRE
ELECTRICITE
REVETEMENT
PEINTURE
-2,00
BOIS
FER A BETON
-3,00
MENUISERIE
-4,00
3
