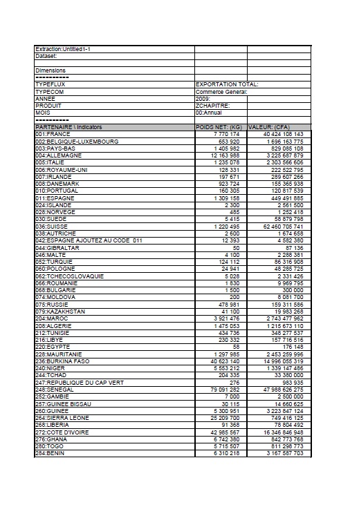
Extraction:Untitled1-1
Dataset:
Dimensions
==========
TYPEFLUX
EXPORTATION TOTAL:
TYPECOM
Commerce General:
ANNEE
2009:
PRODUIT
ZCHAPITRE:
MOIS
00:Annual
==========
PARTENAIRE \\\\ Indicators
POIDS NET: (KG) VALEUR: (CFA)
001:FRANCE
7 770 174
40 424 108 143
002:BELGIQUE-LUXEMBOURG
653 920
1 696 163 775
003:PAYS-BAS
1 405 982
829 085 108
004:ALLEMAGNE
12 163 988
3 225 687 879
005:ITALIE
1 235 078
2 303 566 606
006:ROYAUME-UNI
128 331
222 522 795
007:IRLANDE
197 671
289 607 266
008:DANEMARK
923 724
155 365 938
010:PORTUGAL
160 305
120 817 539
011:ESPAGNE
1 309 158
449 491 885
024:ISLANDE
2 300
2 561 500
028:NORVEGE
485
1 252 418
030:SUEDE
5 415
58 879 798
036:SUISSE
1 220 495
62 460 705 741
038:AUTRICHE
2 600
1 674 658
042:ESPAGNE AJOUTEZ AU CODE 011
12 393
4 582 380
044:GIBRALTAR
50
87 136
046:MALTE
4 100
2 288 381
052:TURQUIE
124 112
86 316 908
060:POLOGNE
24 941
48 285 725
062:TCHECOSLOVAQUIE
5 028
2 331 426
066:ROUMANIE
1 830
9 969 795
068:BULGARIE
1 500
300 000
074:MOLDOVA
200
8 081 700
075:RUSSIE
478 981
159 311 586
079:KAZAKHSTAN
41 100
19 983 268
204:MAROC
3 921 476
2 743 477 962
208:ALGERIE
1 475 053
1 215 673 110
212:TUNISIE
434 736
348 277 537
216:LIBYE
230 332
157 716 516
220:EGYPTE
58
176 148
228:MAURITANIE
1 297 985
2 453 259 996
236:BURKINA FASO
40 623 140
14 996 055 319
240:NIGER
5 553 212
1 339 147 486
244:TCHAD
204 335
33 380 000
247:REPUBLIQUE DU CAP VERT
276
983 935
248:SENEGAL
79 091 282
47 988 626 275
252:GAMBIE
7 000
2 500 000
257:GUINEE BISSAU
30 115
14 660 625
260:GUINEE
5 300 951
3 223 847 124
264:SIERRA LEONE
25 209 700
749 416 125
268:LIBERIA
91 368
78 804 492
272:COTE D'IVOIRE
42 985 567
16 346 846 948
276:GHANA
6 742 380
842 773 768
280:TOGO
5 715 507
811 298 773
284:BENIN
6 310 218
3 167 587 703
PARTENAIRE \\\\ Indicators
POIDS NET: (KG) VALEUR: (CFA)
288:NIGERIA
1 425 829
759 588 486
302:CAMEROUN
712 623
25 857 312
310:GUINEE EQUATORIALE
9 243
8 400 000
314:GABON
137 298
380 610 870
318:CONGO
5 897
15 551 640
322:ZAIRE
34 674
78 599 059
328:BURUNDI
302
285 000
330:ANGOLA
67 403
36 148 690
350:OUGANDA
2 646
3 866 400
352:TANZANIE
5 020
58 674 744
373:MAURICE
980 901
794 531 673
390:REP. AFRIQUE DU SUD ET NAMIBIE
688 704
573 085 219 834
393:SWATZILAND
190 000
38 000 000
400:ETATS UNIS D'AMERIQUE
764 753
1 740 622 734
404:CANADA
252 538
762 419 064
412:MEXIQUE
83 480
16 696 000
448:CUBA
50 000
95 153 100
492:SURINAM
10 000
6 264 039
508:BRESIL
13 911
22 232 888
528:ARGENTINE
6 320
7 530 336
604:LIBAN
493
5 268 230
608:SYRIE
440 445
223 881 302
624:ISRAEL
84
66 480
632:ARABIE SEOUDITE
37 532
35 690 899
636:KOWEIT
22 387
9 144 460
644:QATAR
2 223
2 016 475
645:DOUBAI
577 862
623 990 437
662:PAKISTAN
1 796 666
1 458 272 048
664:INDE
4 385 409
1 571 804 525
666:BANGLADESH
617 461
513 146 846
680:THAILANDE
10 101 782
6 328 306 429
690:VIETNAM
9 019 236
7 937 996 987
700:INDONESIE
8 106 941
5 976 346 830
701:MALAYSIA
17 184 309
12 177 092 941
703:BRUNEI
4 174
5 773 668
720:CHINE
19 937 330
14 987 186 048
726:COREE DU SUD
60 069
40 677 230
732:JAPON
409 567
433 793 285
736:TAIWAN
602 118
465 809 934
740:HONG-KONG
155 404
41 947 770
800:AUSTRALIE
73 827
1 373 851 084
804:NOUVELLE-ZELANDE
17 970
62 124 582
TOTAL:
332 093 383
841 307 979 555
Dataset:
Dimensions
==========
TYPEFLUX
EXPORTATION TOTAL:
TYPECOM
Commerce General:
ANNEE
2009:
PRODUIT
ZCHAPITRE:
MOIS
00:Annual
==========
PARTENAIRE \\\\ Indicators
POIDS NET: (KG) VALEUR: (CFA)
001:FRANCE
7 770 174
40 424 108 143
002:BELGIQUE-LUXEMBOURG
653 920
1 696 163 775
003:PAYS-BAS
1 405 982
829 085 108
004:ALLEMAGNE
12 163 988
3 225 687 879
005:ITALIE
1 235 078
2 303 566 606
006:ROYAUME-UNI
128 331
222 522 795
007:IRLANDE
197 671
289 607 266
008:DANEMARK
923 724
155 365 938
010:PORTUGAL
160 305
120 817 539
011:ESPAGNE
1 309 158
449 491 885
024:ISLANDE
2 300
2 561 500
028:NORVEGE
485
1 252 418
030:SUEDE
5 415
58 879 798
036:SUISSE
1 220 495
62 460 705 741
038:AUTRICHE
2 600
1 674 658
042:ESPAGNE AJOUTEZ AU CODE 011
12 393
4 582 380
044:GIBRALTAR
50
87 136
046:MALTE
4 100
2 288 381
052:TURQUIE
124 112
86 316 908
060:POLOGNE
24 941
48 285 725
062:TCHECOSLOVAQUIE
5 028
2 331 426
066:ROUMANIE
1 830
9 969 795
068:BULGARIE
1 500
300 000
074:MOLDOVA
200
8 081 700
075:RUSSIE
478 981
159 311 586
079:KAZAKHSTAN
41 100
19 983 268
204:MAROC
3 921 476
2 743 477 962
208:ALGERIE
1 475 053
1 215 673 110
212:TUNISIE
434 736
348 277 537
216:LIBYE
230 332
157 716 516
220:EGYPTE
58
176 148
228:MAURITANIE
1 297 985
2 453 259 996
236:BURKINA FASO
40 623 140
14 996 055 319
240:NIGER
5 553 212
1 339 147 486
244:TCHAD
204 335
33 380 000
247:REPUBLIQUE DU CAP VERT
276
983 935
248:SENEGAL
79 091 282
47 988 626 275
252:GAMBIE
7 000
2 500 000
257:GUINEE BISSAU
30 115
14 660 625
260:GUINEE
5 300 951
3 223 847 124
264:SIERRA LEONE
25 209 700
749 416 125
268:LIBERIA
91 368
78 804 492
272:COTE D'IVOIRE
42 985 567
16 346 846 948
276:GHANA
6 742 380
842 773 768
280:TOGO
5 715 507
811 298 773
284:BENIN
6 310 218
3 167 587 703
PARTENAIRE \\\\ Indicators
POIDS NET: (KG) VALEUR: (CFA)
288:NIGERIA
1 425 829
759 588 486
302:CAMEROUN
712 623
25 857 312
310:GUINEE EQUATORIALE
9 243
8 400 000
314:GABON
137 298
380 610 870
318:CONGO
5 897
15 551 640
322:ZAIRE
34 674
78 599 059
328:BURUNDI
302
285 000
330:ANGOLA
67 403
36 148 690
350:OUGANDA
2 646
3 866 400
352:TANZANIE
5 020
58 674 744
373:MAURICE
980 901
794 531 673
390:REP. AFRIQUE DU SUD ET NAMIBIE
688 704
573 085 219 834
393:SWATZILAND
190 000
38 000 000
400:ETATS UNIS D'AMERIQUE
764 753
1 740 622 734
404:CANADA
252 538
762 419 064
412:MEXIQUE
83 480
16 696 000
448:CUBA
50 000
95 153 100
492:SURINAM
10 000
6 264 039
508:BRESIL
13 911
22 232 888
528:ARGENTINE
6 320
7 530 336
604:LIBAN
493
5 268 230
608:SYRIE
440 445
223 881 302
624:ISRAEL
84
66 480
632:ARABIE SEOUDITE
37 532
35 690 899
636:KOWEIT
22 387
9 144 460
644:QATAR
2 223
2 016 475
645:DOUBAI
577 862
623 990 437
662:PAKISTAN
1 796 666
1 458 272 048
664:INDE
4 385 409
1 571 804 525
666:BANGLADESH
617 461
513 146 846
680:THAILANDE
10 101 782
6 328 306 429
690:VIETNAM
9 019 236
7 937 996 987
700:INDONESIE
8 106 941
5 976 346 830
701:MALAYSIA
17 184 309
12 177 092 941
703:BRUNEI
4 174
5 773 668
720:CHINE
19 937 330
14 987 186 048
726:COREE DU SUD
60 069
40 677 230
732:JAPON
409 567
433 793 285
736:TAIWAN
602 118
465 809 934
740:HONG-KONG
155 404
41 947 770
800:AUSTRALIE
73 827
1 373 851 084
804:NOUVELLE-ZELANDE
17 970
62 124 582
TOTAL:
332 093 383
841 307 979 555
