BIENVENUE A LA BIBLIOTHEQUE NUMERIQUE DE L'INSTITUT NATIONAL DE LA STAISTIQUE (INSTAT)
Home
About
Browse
Titres Des Publications de A-Z
Sous Domaines
Thème
Comment Faire
Source/Auteur
Année
Search
Text Search
Fielded Search
Advanced Search
Multi-Collection
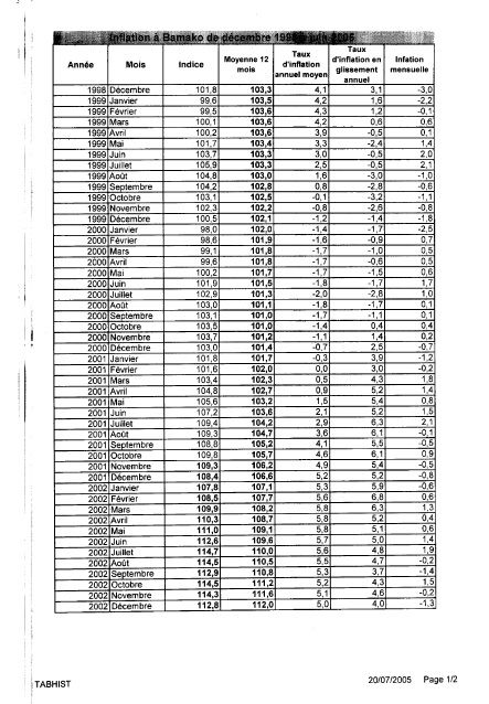
INFLATION A BAMAKO DE DECEMBRE 1998 A JUIN 2005